帮考网

随机变量的数字特征和描述性统计量

阅读 546

《投资管理基础》第一章第四节-2


随机变量的数字特征和描述性统计量


(1)描述性统计量的含义


(2)随机变量的数字特征



02考点精析


1.描述性统计量的含义


在现实世界里我们面对的随机变量通常是未知分布的,无法直接求得其数字特征,因而我们采取抽样的方法来估计它们,即选择X的一组样本X1,...,Xn,然后构造适当的函数g(X1,...,Xn)来作为X分布的数字特征的近似值,这样的g(X1,...,Xn) 便是描述性统计量。


2.随机变量的数字特征


常用的一些数字特征和它们的描述性统计量有期望(均值)、方差与标准差、分位数、中位数。


(1)期望(均值)


随机变量x的期望(或称均值,记做E(X))衡量了X取值的平均水平;它是对X所有可能取值按照其发生概率大小加权后得到的平均值。



在X的分布未知时,我们用抽取样本x1,...,xn的算术平均数(也称样本均值).



作为E(X)的估计值。在计算基金的期望回报率时,我们可以用一定时间的历史平均回报率,或者采用数学模型,对未来回报率的可能分布做出预测。


利用随机变量期望的线性性质,我们可以计算以任意比例分配资金构造资产组合的总体期望收益率。由n项资产Ai,...,An,构成资产组合A=WiAi+...+WnAn,其中Wi为投资于资产Ai的资金所占总资金的比例,

若Ai的期望收益率为ri,则资产组合A的期望收益率,r为

r+w1r1+...+wnrn


(2)方差与标准差


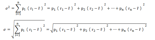
很多情况下,我们不仅需要了解数据的期望值和平均水平,还要了解这组数据分布的离散程度。分布越散,其波动性和不可预测性也就越强。尤其对于投资者而言,他们不仅关心投资的期望收益率,也关心实际收益率相对预期的收益率可能有多大的偏差,即该投资回报的风险水平。对于投资收益率r,我们用方差(σ2)或者标准差(σ)来衡量它偏离期望值的程度。其中(σ2) =E[(r-Er)2],它的数值越大,表示收益率r偏离期望收益率 Er=r的程度越大,反之亦然。


假设从历史数据或者模型模拟得出收益率,r的离散分布,其方差和标准差计算公式为:



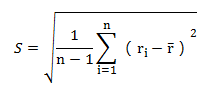
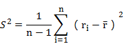
对于,r分布未知的情况,我们可以抽取其样本,然后分别用样本方差



与样本标准差


来估计(σ2) 与σ。


(3)分位数


分位数通常被用来研究随机变量X以特定概率(或者一组数据以特定比例)取得大于等于(或小于等于)某个值的情况。直接计算X的分位数比较困难,尤其是X分布未知时;所以我们用样本x1,...,xn,来估计分位数。首先,我们将样本按照数值从小到大排列成X1,...,Xn,然后用样本中第nα大的数作为上α分位数Xα,用样本中第nα小的数作为下α分位数Xα *。如果nα不是整数,我们就取nα相邻两个整数位置的样本值的平均数作为分位数。


(4)中位数


中位数是用来衡量数据取值的中等水平或一般水平的数值。对于随机变量X来说,它的中位数就是上50%分位数x50%,这意味着x的取值大于其中位数和小于其中位数的概率各为50%。对于一组数据来说,中位数就是大小处于正中间位置的那个数值。由于中位数能够代表一般水平,在基金投资管理领域中,我们经常应用中位数来作为评价基金经理业绩的基准。基金经理的个人回报也往往取决于其管理基金的表现相对于中位数基准有多好。与另一个经常用来反映数据一般水平的统计量——均值相比,中位数的评价结果往往更为合理和贴近实际。


03精选考题


[单选题] 


1、离散程度是由( )表示。


A.方差


B.极差


C.中位数


D.均值


正确答案是:A


解析


对于投资收益率,可以用方差或者标准差来衡量它偏离期望值的程度也就是离散程度。


[单选题]


2、数据分布越散,其波动性和不可预测性( )。


A.越强


B.越弱


C.没有影响


D.视情况而定


正确答案是:A


解析


很多情况下,我们不仅需要了解数据的期望值和平均水平,还要了解这组数据分布的离散程度。分布越散,其波动性和不可预测性也就越强。


[单选题] 


3、在对数据集中趋势的测度中,适用于偏斜分布的数值型数据的是( )。


A.均值


B.标准差


C.中位数


D.方差


正确答案是:C


解析


中位数是用来衡量数据取值的中等水平或一般水平的数值。中位数能够免疫极端值的影响,较好地反映投资策略的真实水平,尤其适用于收入这类偏斜分布的数值型数据;标准差能反映一个数据集的离散程度,平均数相同的,标准差未必相同;方差的作用和标准差一样。

📚 基金从业资格考试备考资料

获取最新考试大纲、历年真题、备考攻略,助你一次通关

🏠首页📋考试🔍搜索💬问答