帮考网

CPA-期权价值评估

阅读 800

一、期权类型


1.多头看涨期权到期日价值=Max(股票市价-执行价格,0)


2. 多头看涨期权净损益=多头看涨期权到期日价值-期权价格


3.多头看跌期权到期日价值=Max(执行价格-股票市价,0)


4.多头看跌期权净损益=多头看跌期权到期日价值-期权价格


5.空头看涨期权到期日价值=-Max(股票市价-执行价格,0)


6. 空头看涨期权净损益=空头看涨期权到期日价值+期权价格


7.空头看跌期权到期日价值=-Max(执行价格-股票市价,0)


8. 空头看跌期权净损益=空头看跌期权到期日价值+期权价格


二、金融期权价值评估


1.期权价值=内在价值+时间溢价


2.套期保值比率

期权的价值=该投资组合成本=购买股票的支出-借款


3.期望报酬率


期望报酬率=上行概率×上行时报酬率+下行概率×下行时报酬率


假设股票不派发红利,股票价格的上升百分比就是股票投资的报酬率:


期望报酬率=上行概率×股价上升百分比+下行概率×股价下降百分比


4.单期二叉树公式


设:

公式:


5.两期二叉树公式

设:


6.多期二叉树公式


7.布莱克斯科尔斯期权定价模型


8.报酬率标准差的估计


计算连续复利标准差的公式与年复利相同: 



式中:Rt指报酬率的连续复利值。


分期复利的股票报酬率:


连续复利的股票报酬率:

式中:

Rt  :股票在t时期的报酬率;

Pt:t期的价格;

Pt-1 :t-1期的价格;

D:t期的股利。


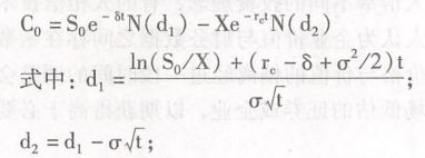
9.考虑派发股利的期权定价公式



式中:δ表示标的股票的年股利报酬率

📚 注册会计师考试备考资料

获取最新考试大纲、历年真题、备考攻略,助你一次通关

🏠首页📋考试🔍搜索💬问答