2020年CFA考试《CFA一级》章节练习题精选
2020年CFA考试《CFA一级》考试共240题,分为单选题。小编为您整理Corporate Finance5道练习题,附答案解析,供您备考练习。
1、An inventory system that reduces average inventory without affecting sales will most likely reduce the:【单选题】
A.quick ratio.
B.inventory turnover.
C.cash conversion cycle.
正确答案:C
答案解析:"Financial Analysis Techniques," Thomas R. Robinson, CFA, Jan Hendrik van Greuning, CFA, Elaine Henry, CFA, and Michael A. Broihahn, CFA
2011 Modular Level 1, Vol. 3, pp. 329-331
“Working Capital Management” Edgar A. Norton, Jr., CFA, Kenneth L. Parkinson, and Pamela Peterson Drake, CFA
2011 Modular Level I, Vol.4, pp. 162-167
Study Session 8-35-d; 11-48-c
Calculate, classify, and interpret activity, liquidity, solvency, profitability, and valuation ratios.
Evaluate overall working capital effectiveness of a company, using the operating and cash conversion cycles, and compare its effectiveness with other peer companies.
The inventory turnover will increase which means the days in inventory will reduce which will reduce the cash conversion cycle (also called net operating cycle).
1、A firm's estimated costs of debt, preferred stock, and common stock are 12%, 17%, and 20%,respectively. Assuming equal funding from each source and a marginal tax rate of 40%, theweighted average cost of capital (WAAC) is closest to:【单选题】
A.16.3%.
B.13.9%.
C.14.7%.
正确答案:C
答案解析:WACC=
(1-t)+
=[0.12 × (1-0.40)+0.17+0.20]/3=14.73%.
CFA Level I
"Cost of Capital," Yves Courtois, Gene C. Lai, and Pamela Peterson Drake
Sections 2, 2.1
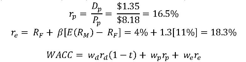
1、The following information is available for a company:
· Bonds are priced at par and they have an annual coupon rate of 9.2%
· Preferred stock is priced at $8.18 and it pays an annual dividend of $1.35
· Common equity has a beta of 1.3
· The risk-free rate is 4% and the market premium is 11%
· Capital structure: Debt = 30%; Preferred stock = 15%; Common equity = 55%
· The tax rate is 35%
The weighted average cost of capital (WACC) for the company is closest to:【单选题】
A.11.5%.
B.13.4%.
C.14.3%.
正确答案:C
答案解析:“Cost of Capital,” Yves Courtois, Gene C. Lai, and Pamela Peterson Drake
2012 Modular Level I, Vol. 4, pp. 41, 47–52
“Portfolio Risk and Return: Part II,” Vijay Singal
2012 Modular Level I, Vol. 4, p. 418
Study Session 11-37-a, b, 12-45-g
Calculate and interpret the weighted average cost of capital (WACC) of a company.
Describe how taxes affect the cost of capital from different capital sources.
Calculate and interpret the expected return of an asset using the CAPM.
C is correct.
the yield to maturity on a par value bond is the coupon rate of the bond.
WACC=30%×9.2%×(1?35%)+15%×16.5%+55%×18.3%=14.33%
1、An analyst does research about capitalbudgeting.Which of the following capitalinvestment categories is least likely associated with the greatest decision-makinguncertainty?【单选题】
A.Replacement projects.
B.Expansion projects.
C.New products or markets projects.
正确答案:A
答案解析:在项目分类中,重置项目(Replacement projects)为维持运营或者减少成本,其不确定性较低,扩张性项目(Expansion projects)有一定的不确定性,而新产品项目或新市场项目(New products or markets projects)的不确定性更高。
1、When computing the cash flows for a capital project, which of the following is least likely to be included?【单选题】
A.Tax effects
B.Financing costs
C.Opportunity costs
正确答案:B
答案解析:“Capital Budgeting,” John D. Stowe and Jacques R. Gagne
2012 Modular Level I, Vol. 4, p. 8
Study Session 11-36-b
Describe the basic principles of capital budgeting, including cash flow estimation.
B is correct. Financing costs are not included in a cash flow calculation but are considered in the calculation of the discount rate.