2020年CFA考试《CFA一级》章节练习题精选
2020年CFA考试《CFA一级》考试共240题,分为单选题。小编为您整理Equity Investments5道练习题,附答案解析,供您备考练习。
1、An analyst does research about market efficiency.Which of the following statementsdoes not support the weak form efficient market hypothesis? Investors canearn abnormal profits by:【单选题】
A.using fundamental analysis to purchase the securities.
B.using no public information to purchase the securities.
C.using technical analysis strategies to purchase the securities.
正确答案:C
答案解析:弱式有效市场表明现在股价已经完全反映了市场上能得到的如价格、成交量等技术面的信息。如果弱式有效市场成立,投资者则无法从技术分析中获得超额利润。如果半强式有效市场成立,投资者则无法从技术分析和基本面分析中获得超额利润。如果强式有效市场成立,投资者则无法从技术分析、基本面分析和内幕信息中获得超额利润。
1、A company’s $100 par perpetual preferred stock has a dividend rate of 7 percent and a required rate of return of 11 percent. The company’s earnings are expected to grow at a constant rate of 3 percent per year. If the market price per share for the preferred stock is $75, the preferred stock is most appropriately described as being:【单选题】
A.overvalued by $11.36.
B.undervalued by $15.13.
C.undervalued by $36.36.
正确答案:A
答案解析:“An Introduction to Security Valuation,” Frank K. Reilly, CFA and Keith C. Brown, CFA
2010 Modular Level I, Vol. 5, pp. 134-135
Study Session 14-56-c
Calculate and interpret the value of both a preferred stock and a common stock using the dividend discount model (DDM).
Value of perpetual preferred stock = Dividend / Investor’s required rate of return
$7/ 0.11 = $63.64. The stock is overvalued by $75.00 – 63.64 = $11.36.
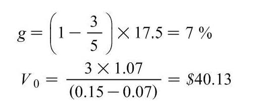
1、An investor gathers the following information about a company:
Using the dividend discount model, the value of the company's stock is closest to:【单选题】
A.$73.67.
B.$40.13.
C.$37.50.
正确答案:B
答案解析:Correct.
g = b × ROE,
where g = Dividend growth rate b = Earnings retention rate = (1– Dividend payout ratio)
where
r = Required rate of return on the stock
2014 CFA Level I
“Equity Valuation: Concepts and Basic Tools,” by John J. Nagorniak and Stephen E. Wilcox
Section 4.2
1、An analyst gathered the following information about a company:
If markets are in equilibrium, which of the following statements best describes the company’s price-to- earnings (P/E) ratio? The company’s P/E ratio based on the infinite period dividend discount model (DDM) is:【单选题】
A.less than the company’s trailing P/E ratio.
B.the same as the company’s trailing P/E ratio.
C.greater than the company’s trailing P/E ratio.
正确答案:A
答案解析:“An Introduction to Security Valuation,” Frank K. Reilly, CFA and Keith C. Brown, CFA
2010 Modular Level I, Vol. 5, pp. 142-143, 148-150
“Introduction to Price Multiples,” John D. Stowe, CFA, Thomas R. Robinson, CFA, Jerald E. Pinto, CFA, and Dennis W. McLeavey, CFA
2010 Modular Level I, Vol. 5, p. 198-200
Study Session 14-56-d; 14-59-b
Show how to use the DDM to develop an earnings multiplier model and explain the factors in the DDM that affect a stock’s price-to-earnings (P/E) ratio.
Calculate and interpret P/E, P/BV, P/S, and P/CF.
The trailing P/E ratio is computed as the current stock price divided by the current or trailing 12-months’ EPS. On the other hand, the P/E ratio based on the infinite period dividend discount model is computed as (D/E) / (k – g).
If markets are in equilibrium, the price per share reflects the value determined by the constant growth dividend. Using the constant growth model the stock's value is ($2.40)(1.08) / 0.07 = $37.03;
The trailing P/E = 37.03 / 6 = 6.17. The DDM P/E is the dividend payout ratio divided by k-g = 0.4 / 0.07 = 5.71. Another way of computing DDM P/E is: Current Market Price/Expected 12-month earnings: 37.03/(6.00 x 1.08) = 5.71. (see p. 148)
1、An equity portfolio manager is evaluating her sector allocation strategy for the upcoming year. She expects global economic slowdown for the next two years. Further, she believes that companies will be facing diminishing growth rates with respect to revenues and profits. Owing to these beliefs, the portfolio manager will most likely:【单选题】
A.overweight materials.
B.overweight consumer staples.
C.underweight telecommunications.
正确答案:B
答案解析:“Introduction to Industry and Company Analysis” Patrick W. Dorsey, CFA, Anthony M. Fiore, CFA, and Ian Rossa O’Reilly, CFA
2013 Modular Level I, Vol. 5, Reading 50, Section 3.2
Study Session 14-50-c
Explain the factors that affect the sensitivity of a company to the business cycle and the uses and limitations of industry and company descriptors such as “growth,” “defensive,” and “cyclical”.
B is correct. Non-cyclical companies produce goods or services for which demand remains relatively stable throughout the business cycle. The consumer staples sector exhibits relatively less economic sensitivity and thus tends to be over-weighted during economic slowdowns and when revenues and profits are expected to be under pressure.